Chapter 4
Vector Algebra
We have learned vectors in two-dimensional rectangular coordinates system. In this chapter, we will extend the system to three dimensions and we will use vectors to calculate angles, distances and areas. We will also apply vectors to geometrical problems of lines and planes.
4.1 Vectors in Three Dimensions
In the plane, each point is associated with an ordered pair of real numbers. In space, each point is associated with an ordered triple of real numbers. Through a fixed point, called the origin O, draw three mutually perpendicular lines: the x-axis, the yaxis and the z-axis. A point P in space is determined by an ordered triple (x, y, z) of real numbers as shown in the diagram. These numbers x, y, z are called the coordinates of P.

Example 1.
Illustrate the points (a) A(0, 3, 0) (b) B(4, 0, 2) (c) C(-1, 2, 2)
Solution
To represent vectors in space, we introduce the standard unit vectors î, ĵ and
k̂ where

Position Vectors in Three Dimensions
If
OA⟶
is a vector with initial point at the origin O and terminal point at point A
(2, 3, 4), then we can represent
OA⟶ in terms of the vector î, ĵ and k̂ as
OA⟶ = 2î + 3ĵ + 4k̂ .
We can also represent vector in three dimensions using column vector as like in two dimensions.

The numbers in each column are called the components of the vector.
A vector whose initial point at the origin is called a position vector. For example, the position of point P(a, b, c)
in the diagram can be represented by its position vector, OP⟶. So,
p→ =
OP⟶
= a î + b ĵ + c k̂ is the position vector of the point P.

The magnitude of a vector
OP⟶ =
p→
In general, for the position vectors of two points A(x1, y1, z1) and B(x2,
y2, z2), we can find the vector AB⟶ as follows:
AB⟶ = OB⟶ -
OA⟶
And
AB⟶ is called the position vector of B relative to A.
Example 2.
If P is (-3, 1, 2) and Q is (1, -1, 3), find:
(a) OP⟶
(b) PQ⟶
(c) |PQ⟶ |
(d) QP⟶
(e) |QP⟶ |
Solution
(a)
(b)
PQ⟶ =
OQ⟶ -
OP⟶
(c)
(d)
QP⟶ =
OP⟶ -
OQ⟶
(e)
Algebraic Operation with Vectors
Negative Vector
In the diagram, the vector - a⟶ has the same length as the vector
a⟶ but the opposite direction.
When
a⟶
is given in component form, the components of -
a⟶
are the same as those for
a⟶
but with their sign reversed. So
Zero Vector
In three dimensional space, the zero vector is denoted by
The rule for algebra with vectors extend from two dimensions to three dimensions:
The following figures give the geometric interpretation of two vectors for addition, subtraction and scalar multiplication of two
vectors, respectively.

Example 3.
Solution
Equal Vectors and Parallel Vectors
Two vectors are equal if they have the same magnitude and direction.
So, if arrows are used to represent vectors, then equal vectors are parallel and equal in length.
This means that equal vector arrows are translations of one another, but in space.
x1 = x2, y1 = y2,
z1 = z2.
In this diagram, we see that
Example 4.
$$\text{Find} \, u \, \text{and} \, v\ \text{given} \, \text{that} \, \vec a = \begin{pmatrix}-1\\ -1\\ u\end{pmatrix}$$
$$\text{is \, parallel \, to} \, \vec b =
\begin{pmatrix}v \\ 2 \\ -2 \end{pmatrix}. $$
Solution
$$\text{Since}\, \vec a \, \text{and} \, \vec b \, \text{are \, parallel}\,, \text{we \, have}\, \vec a = k \vec b \, \text{for\, some\, scalar}\, k.$$
$$ \begin{pmatrix}-1\\-1\\u\end{pmatrix} = k \begin{pmatrix}v\\2\\-2\end{pmatrix}.$$
$$-1 = kv, \, \, \, -1=2k \, \, \, and \, \, u=-2k.$$
We have
$$k = - \frac{1}{2} $$
Thus u = 1 and v = 2.
Example 5.
ABCD is a parallelogram. A is (-1, 1, 1), B is (2, 0, -2), and D is (3, 1, 4). Find the coordinates of C.
Solution
Let C be (x, y, z).
Since ABCD is a parallelogram, AB \\ DC, and they have the same length, so
$$\overrightarrow{DC} = \overrightarrow{AB}$$
$$\overrightarrow{OC}-\overrightarrow{OD} = \overrightarrow{OB}-\overrightarrow{OA}$$
$$\begin{pmatrix}x\\y\\z\end{pmatrix} - \begin{pmatrix}3\\1\\4\end{pmatrix} = \begin{pmatrix}2\\0\\-2\end{pmatrix} - \begin{pmatrix}-1\\1\\1\end{pmatrix}$$
$$\begin{pmatrix}x - 3\\y - 1\\z - 4\end{pmatrix} = \begin{pmatrix}3\\-1\\-3\end{pmatrix}$$
x - 3 = 3,
x = 6
y - 1 = -1,
y = 0
z - 4 = -3,
z = 1.
Therefore C is (6, 0, 1).
Unit Vector
A vector with magnitude 1 is called a unit vector.
$$\text{For\, a\, nonzero\, vector} \,\vec a, \, \text{the\, unit\, vector}$$
$$ \text{in\, the\, (same)\, direction\, of}\, \vec a,\, \text{denoted\, by}\, \hat a\,
\text{is\, given\, by}$$
$$\hat a = \frac{\vec a}{|\vec a|}$$
Example 6.
(a) Find the unit vector in the same direction as
$$\vec a = \begin{pmatrix}2\\-2\\1\end{pmatrix}.$$
$$\text{(b)\, \, Find\, a\, vector\, of\, magnitude\, 5\, that\, is\, parallel\, to}\,\vec a.$$
Solution
(a)
$$|\vec a| = \sqrt{2^2 + (-2)^2 + 1^2} = 3.$$
$$\text{The\, unit\, vector\, of}\, \vec a \, \text{is}$$
$$\hat a = \frac{\vec a}{|\vec a|} = \frac{1}{3} \begin{pmatrix}2\\-2\\1\end{pmatrix}$$
$$= \begin{pmatrix}\frac{2}{3}\\ - \frac{2}{3}\\ \frac{1}{3}\end{pmatrix}.$$
$$\text{(b)\, \, Let}\, \vec b \, \text{be\, parallel\, to}\, \vec a \, \text{and}\, |\vec b| = 5.$$
Then
$$\vec b = 5\hat a = \begin{pmatrix}\frac{10}{3}\\ - \frac{10}{3}\\ \frac{5}{3}\end{pmatrix}$$
or
$$\vec b = -5\hat a = \begin{pmatrix}- \frac{10}{3}\\ \frac{10}{3}\\ - \frac{5}{3}\end{pmatrix}.$$
Collinear Points
Three or more points are said to be collinear if they lie on the same straight line.
A, B and C are collinear if
$$\overrightarrow{AB} = k\overrightarrow{BC}$$
for some scalar k.
Example 7.
Prove that A(8, 2, 2), C (20, 5, 5) and B (12, 3, 3) are collinear.
Solution
$$\overrightarrow{AB} = \overrightarrow{OB} - \overrightarrow{OA}$$
$$=\begin{pmatrix}12\\3\\3\end{pmatrix} - \begin{pmatrix}8\\2\\2\end{pmatrix} = \begin{pmatrix}4\\1\\1\end{pmatrix}.$$
$$\overrightarrow{BC} = \overrightarrow{OC} - \overrightarrow{OB}$$
$$=\begin{pmatrix}20\\5\\5\end{pmatrix} - \begin{pmatrix}12\\3\\3\end{pmatrix} = \begin{pmatrix}8\\2\\2\end{pmatrix}.$$
$$= 2\begin{pmatrix}4\\1\\1\end{pmatrix}$$
$$= 2 \overrightarrow{AB}.$$
Therefore BC is parallel to AB.
Since B is common to both, it follows that A, B and C are collinear.
Exercise 4.1
2. Given vectors
$$\text{(a) \ \ find \ the \ value \ of }\ p \ \text{and}\ q\ \text{such \ that} $$
$$\vec{c} \ \text{is\ parallel\ to} \ \vec{a.} $$
3. Points A, B, C and D have position vectors
respectively.
Point E is the midpoint of BC.
(a) Find the position vector of E.
(b) Show that ABED is a parallelogram.
4. Points A, B and C have position vectors
Find the position vector of point D such that ABCD is a parallelogram.
5. K(1, -1, 0), L(4, -3, 7) and M(a, 2, b) are collinear.
Find a and b.
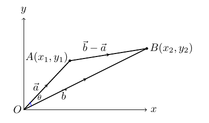
4.2 Angle Between Two Vectors and Scalar Product
First, we consider the angle θ between the two vectors
θ be the angle between them.
In ▵OAB, we use the cosine rule,

$$|\overrightarrow{AB}|^2 = |\overrightarrow{OA}|^2 + |\overrightarrow{OB}|^2 - 2|\overrightarrow{OA}||\overrightarrow{OB}| \, cos \, \theta,$$ $$|\vec b - \vec a|^2 = |\vec a|^2 + |\vec b|^2 - 2|\vec a||\vec b| \, cos\ \theta. \, \, \, \, \, \, \, \_\_\_\_\_\_(1)$$ $$\text{But}\, \, \vec b - \vec a = \begin{pmatrix}x_2\\y_2\end{pmatrix} - \begin{pmatrix}x_1\\y_1\end{pmatrix}$$ $$= \begin{pmatrix}x_2 - x_1\\y_2 - y_1\end{pmatrix},$$
equation (1) becomes
$$(x_2 - x_1)^2 + (y_2 - y_1)^2 = x_1^2 +y_1^2 + x_2^2 + y_2^2 - 2|\vec a||\vec b| \, cos \, \theta $$
which siplifies to
$$x_1x_2 + y_1y_2 = |\vec a||\vec b|\ cos\ \theta $$
So,
$$\cos \ \theta = \frac{x_1x_2 + y_1y_2}{|\vec a||\vec b|}. \, \, \, \, \, \, \, \_\_\_\_\_\_(2)$$
$$\text{The\, expression}\, x_1x_2 + y_1y_2 \, \text{can\, be}$$
$$\text{written\, by}\, \vec a \sdot \vec b. \, \text{that\, is},$$
$$\vec a \sdot \vec b = x_1x_2 + y_1y_2 $$
for two dimensions. This method can be extended into three dimensions.
$$\text{If}\, \vec a = \begin{pmatrix}x_1\\y_1\\z_1\end{pmatrix}\, \text{and}\, \vec b = \begin{pmatrix}x_2\\y_2\\z_2\end{pmatrix},$$
it can be written by
$$cos \, \theta = \frac{x_1x_2 + y_1y_2 + z_1z_2}{|\vec a| |\vec b|}. \, \, \, \, \, \, \, \, \_\_\_\_\_\_(3)$$
$$\text{Thus}\, \vec a \sdot \, \vec b \, \text{is\, also\, written\, by} $$
$$\vec a \sdot \vec b = x_1x_2 + y_1y_2 + z_1z_2. $$
$$\text{The\, expression}\, \vec a \sdot \vec b\, \text{is\, called}$$
the scalar product or dot product of the vectors
$$\vec a\, \text{and}\, \vec b.$$
In both cases, we can write (2) and (3) as follows:
$$cos \, \theta = \frac{\vec a \sdot \vec b}{|\vec a| |\vec b|}. $$
This result can be written in the form,
$$\vec a \sdot \vec b = |\vec a| |\vec b| \, \text{cos} \, \theta.$$
Example 8.
Find the angles between the two vectors
$$\begin{pmatrix}3\\4\end{pmatrix} \, \text{and}\, \begin{pmatrix}5\\-12\end{pmatrix}.$$
Solution
$$\text{Let}\, \vec a = \begin{pmatrix}3\\4\end{pmatrix} \, \text{and}\, \vec b = \begin{pmatrix}5\\-12\end{pmatrix}.$$
We can find that
$$|\vec a| = \sqrt{3^2 + 4^2} = 5 $$
and
$$|\vec b| = \sqrt{5^2 + (-12)^2} = 13.$$
and
$$\vec a \sdot \vec b = \begin{pmatrix}3\\4\end{pmatrix} \sdot \begin{pmatrix}5\\-12\end{pmatrix}$$
$$= 3 \times 5 + 4 \times (-12) = 15 - 48 = -33$$
$$\text{cos}\, \theta = \frac{\vec a \sdot \vec b}{|\vec a| |\vec b|}$$
$$ \text{cos}\, \theta = \frac{-33}{65}$$
$$\theta = 120.5^{\circ}.$$
Example 9.
Given points P(1, 0, -1), Q(2, 4, 1) and R(3, 5, 6), find ∠QPR.
Solution
$$\text{The\, angle\, between}\, \overrightarrow{PQ}\, \text{and}\, \overrightarrow{PR}$$
$$\texttt{is\, given\, by}\, \theta\, \text{in} $$
$$\text{cos}\, \theta = \frac{\overrightarrow{PQ} \sdot \overrightarrow{PR}}{|\overrightarrow{PQ}| |\overrightarrow{PR}|}.$$
$$\text{Since}\, \overrightarrow{PQ} = \begin{pmatrix}2\\4\\1\end{pmatrix} - \begin{pmatrix}1\\0\\-1\end{pmatrix}$$
$$= \begin{pmatrix}1\\4\\2\end{pmatrix}, \, \text{we\, get}$$
$$|\overrightarrow{PQ}| = \sqrt{1^2 + 4^2 + 2^2} = \sqrt{21}.$$
Again
$$\overrightarrow{PR} = \begin{pmatrix}3\\5\\6 \end{pmatrix} - \begin{pmatrix}1\\0\\-1 \end{pmatrix} $$
$$= \begin{pmatrix}2\\5\\7 \end{pmatrix} , \text{we \ get} $$
$$|\overrightarrow{PR}| = \sqrt{2^2 + 5^2 + 7^2} = \sqrt{78}.$$
$$\overrightarrow{PQ} \sdot \overrightarrow{PR} = \begin{pmatrix}1\\4\\2\end{pmatrix} \sdot \begin{pmatrix}2\\5\\7\end{pmatrix} = 36,$$
$$\text{cos}\, \theta\, = \frac{36}{\sqrt{21} \times \sqrt{78}},$$
$$\theta = 27.2^\circ .$$
Algebraic Properties of the Scalar Product
The scalar product of two vectors has the following algebraic properties.
$$\text{If}\, \vec a,\, \vec b\, \text{and}\, \vec c \, \, \text{are}$$
$$\text{vectors\, in\, space\, and}\, k\, \text{is\, a\, scalar,\, then}$$
$$1. \, \, \, \vec a \sdot \vec b = \vec b \sdot \vec a, $$
$$2.\, \, \, (-\vec a) \sdot \vec b = \vec a \sdot (-\vec b) = -(\vec a \sdot \vec b),$$
$$3. \, \, \, \vec a \sdot(\vec b + \vec c) = \vec a \sdot \vec b + \vec a \sdot \vec c,$$
$$4. \, \, \, (k\vec a) \sdot \vec b = k(\vec a \sdot \vec b) = \vec a \sdot(k \vec b).$$
$$5. \ \ \ \vec 0 \sdot \vec a = 0.$$
Geometric Properties of the Scalar Product
$$1.\, \, \, \text{If\, nonzero\, vectors}\, \vec a\, \text{and}\, \vec b\, \text{are} $$ $$\text{\textbf{perpendicular}\, then}\, \vec a \sdot \, \vec b = 0.$$ $$2. \, \, \, \text{If\, nonzero \, vectors}\, \vec a\, \text{and}\, \vec b\, \text{are} $$ $$\text{\textbf{parallel}\, in\, same\, direction,\, then}$$ $$\vec a \sdot \vec b = |\vec a| |\vec b|,\, \text{in\, particular,}$$ $$\vec a \sdot \vec a = |\vec a|^2.$$ $$3. \ \ \ \text{If\, nonzero\, vectors}\, \vec a \, \text{and}\, \vec b\, \text{are}$$ $$\text{\textbf{parallel}\, in\, opposite\, directions,\, then}$$ $$\vec a \sdot \vec b = -|\vec a| |\vec b|.$$
Example 10.
$$\text{Given\, that}\, \vec a\, \text{and}\, \vec b\, \text{are\, perpendicular\, vectors}$$
$$\text{such\, that}\, |\vec a| = 3\, \text{and}\, \, |\vec b| = 1,$$
$$\text{evaluate}\, (\vec a - \vec b)\sdot(\vec a + 5\vec b). $$
Solution
$$\text{Since}\, \vec a \,\text{and}\, \vec b\, \text{are\, perpendicular},$$
$$\text{so}\, \vec a \sdot \vec b = \vec b \sdot \vec a = 0.$$
$$\small{(\vec a - \vec b) \sdot (\vec a + 5\vec b) = \vec a \sdot \vec a + 5(\vec a \sdot \vec b) - \vec b\sdot \vec a - 5(\vec b\sdot \vec b)}$$
$$= \vec a\sdot \vec a - 5(\vec b\sdot \vec b)$$
$$= |\vec a|^2 - 5|\vec b|^2 = 3^2 - 5 \times 1^2 = 4.$$
Example 11.
Points A, B and C have position vectors
$$\vec a = k\begin{pmatrix}2\\-1\\1\end{pmatrix}, \, \vec b = \begin{pmatrix}3\\2\\-2\end{pmatrix}$$
$$\text{and}\, \vec c = \begin{pmatrix}1\\1\\4\end{pmatrix}.$$
$$\text{(a) \, \, Find}\, \overrightarrow{BC}.$$
$$\text{(b)\, \, Find}\, \overrightarrow{AB}\, \text{in\, terms\, of}\, k.$$
$$\text{(c)\, \, Find\, the\, value\, of\,} k\, \text{for\, which}$$
$$\overrightarrow{AB}\, \text{is\, perpendicular\, to}\, \overrightarrow{BC}.$$
Solution
$$\text{(a)}\, \, \overrightarrow{BC} = \vec c - \vec b$$
$$= \begin{pmatrix}1\\1\\4\end{pmatrix} - \begin{pmatrix}3\\2\\-2\end{pmatrix}$$
$$= \begin{pmatrix}-2\\-1\\6\end{pmatrix}.$$
$$\text{(b)}\, \, \overrightarrow{AB} = \vec b - \vec a$$
$$= \begin{pmatrix}3\\2\\-2\end{pmatrix} - k\begin{pmatrix}2\\-1\\1\end{pmatrix}$$
$$= \begin{pmatrix}3-2k\\2+k\\-2-k\end{pmatrix}.$$
$$\text{(c)\, \, Since}\, \overrightarrow{AB} \, \text{is\, perpendicular to}\, \overrightarrow{BC},$$
$$\text{it\, follows\, that}$$
$$\overrightarrow{AB} \sdot \overrightarrow{BC} = 0$$
$$\begin{pmatrix}3-2k\\2+k\\-2-k\end{pmatrix} \sdot \begin{pmatrix}-2\\-1\\6\end{pmatrix} = 0$$
$$-6 + 4k -2 - k -12 - 6k = 0$$
$$-3k = 20$$
$$k = - \frac{20}{3}.$$
Exercise 4.2
$$2. \quad For \,\, \vec{a} = \begin{pmatrix}2\\1\\3 \end{pmatrix}, \quad \vec{b} = \begin{pmatrix} -1 \\ 1 \\ 1 \end{pmatrix} $$ $$and \, \, \vec{c} = \begin{pmatrix} 0 \\ -1 \\ 1 \end{pmatrix} , \quad find:$$ $$(a) \quad \vec{a} \cdot \vec{b} \qquad (b) \,\, \vec{b} \cdot \vec{a} $$ $$(c) \,\, \left|\vec{a}\right|^2 \qquad (d) \,\, \vec{a} \cdot \vec{a} $$ $$(e) \,\, \vec{a} \cdot \left( \vec{b} + \vec{c} \right) \qquad (f) \,\, \vec{a} \cdot \vec{b} \ + \ \vec{a} \cdot \vec{c}.$$
$$3. \quad \text{Find the angle between} \,\, \vec{m} \,\, \text{and} \,\, \vec{n} \,\, \text{if:}$$ $$\text{(a)} \quad \vec{m} = \begin{pmatrix}2 \\ -1 \\ -1 \end{pmatrix} \quad \text{and} \quad \vec{n} = \begin{pmatrix}-1 \\ 3 \\ 2\end{pmatrix}$$ $$\text{(b)} \quad \vec{m} = 2\hat{j} - \hat{k} \quad and \quad \vec{n} = \hat{i} + 2\hat{k}.$$
4. Find t if the given pair of vectors are:
(i) Perpendicular (ii) parallel
$$\text{(a)} \quad \vec{p} = \begin{pmatrix}3\\t \end{pmatrix} \quad and \quad \vec{q} = \begin{pmatrix}-2\\1 \end{pmatrix},$$
$$\text{(b)} \quad \vec{r} = \begin{pmatrix}t \\ t + 2 \end{pmatrix} \quad and \quad \vec{s} = \begin{pmatrix}t \\ -4 \end{pmatrix},$$
$$\text{(c)} \quad \vec{a} = \begin{pmatrix}0 \\ t + 2 \end{pmatrix} \quad and \quad \vec{b} = \begin{pmatrix}2 - 3t \\ t \end{pmatrix}.$$
$$\text{5. \quad Find} \,\, t \,\, if \,\, \begin{pmatrix}3\\t\\-2 \end{pmatrix} \,\, \text{is perpendicular to} \,\, \begin{pmatrix}1 - t\\ -3 \\ 4 \end{pmatrix}$$
$$\text{6.} \quad ABCD \,\, \text{is a parallelogram with} \,\,AB \,\, \text{parallel to} \,\, DC. $$
$$\text{Let} \,\,
\overrightarrow{AB} = \vec{a} \,\, \text{and} \,\, \overrightarrow{AD} = \vec{b}.$$
$$\text{(a) \,\, Express} \,\, \overrightarrow{AC} \,\, \text{and} \,\, \overrightarrow{BD} \,\, \text{in terms of} \,\, \vec{a} \,\, \text{and} \,\, \vec{b}.$$
$$\text{(b) \,\, Simplify} \,\, (\vec{a} + \vec{b}) \cdot (\vec{b} - \vec{a})$$
(c) Hence show that if ABCD is a rhombus then its diagonals are perpendicular.
4.3 Area of a Parallelogram and Vector Product
The vector product is only defined when both vectors are three-dimensional. The vector product ( or cross product) of
$$\vec{a} = \begin{pmatrix}x_1\\y_1\\z_1\end{pmatrix} \,\, \text{and} \,\, \vec{b} = \begin{pmatrix} x_2\\y_2\\z_2 \end{pmatrix}\, ,
\,\, \text{is given by}$$
$$\vec{a} \times \vec{b} = \begin{pmatrix}x_1\\y_1\\z_1\end{pmatrix} \times \begin{pmatrix}x_2\\y_2\\z_2\end{pmatrix}$$
$$= \begin{pmatrix}y_1z_2 - z_1y_2 \\ z_1x_2 - x_1z_2 \\ x_1y_2 - y_1x_2 \end{pmatrix}$$
Instead of memorizing the formula for the vector product try using the following shortcut.
(1) Eliminate the component column that you are trying to calculate.
(2) Calculate: Down product - Up Product.

$$\text{The direction of} \,\, \vec{a} \times \vec{b} \,\, \text{is perpendicular to both} $$ $$ \vec{a} \,\, \text{and} \,\, \vec{b} \,\, \text{as shown in the diagram.}$$ $$\text{We have known that the nonzero vectors} $$ $$ \vec{a} \,\, \text{and} \,\, \vec{b} \,\, \text{are perpendicular if} \,\, \vec{a} \cdot \vec{b} = 0.$$ $$\text{We will examine:} \,\,\, (\vec{a} \times \vec{b}) \cdot \vec{a}.$$ $$\text{Let} \,\, \vec{a} = \begin{pmatrix} x_1 \\ y_1 \\ z_1 \end{pmatrix}\,\, \text{and} \,\, \vec{b} = \begin{pmatrix} x_2 \\ y_2 \\ z_2 \end{pmatrix}.$$

$$(\vec{a} \times \vec{b})\cdot \vec{a} = \begin{pmatrix}y_1z_2 - z_1y_2 \\ z_1x_2 - x_1z_2 \\ x_1y_2 - y_1x_2 \end{pmatrix}\cdot \begin{pmatrix}x_1 \\ y_1\\ z_1 \end{pmatrix}$$ $$= (y_1z_2 - z_1y_2)x_1 + (z_1x_2 - x_1z_2)y_1 + (x_1y_2 - y_1x_2)z_1$$ $$= x_1y_1z_2 - x_1y_2z_1 + x_2y_1z_1 - x_1y_1z_2 + x_1y_2z_1 - x_2y_1z_1$$ $$=0$$ $$\text{Therefore} \,\, \vec{a} \times \vec{a} \,\, \text{is perpendicular to} \,\, \vec{a}.$$ $$\text{Similarly, we can show that} \,\, \vec{a} \times \vec{a} \,\, \text{is also perpendicular to}\,\, \vec{b}.$$ $$\text{The vector product of} \,\, \vec{a} = \begin{pmatrix}x_1\\y_1\\z_1 \end{pmatrix} \,\, \text{and} \,\, \vec{b} = \begin{pmatrix} x_2\\y_2\\z_2 \end{pmatrix}\, , $$ $$ \text{has magnitude}\,\, \left|\vec{a}\right| \left|\vec{b}\right| \,\, \text{sin} \, \theta ,$$ $$\text{where} \,\, \theta \,\, \text{is the angle between}\,\, \vec{a} \,\, \text{and} \,\, \vec{b}.$$
Area of a Parallelogram
Consider the parallelogram OACB lying on the plane, with the vectors
i.e., the area of the parallelogram with sides defined by vectors
$$\overrightarrow{OA} = \vec{a} = \begin{pmatrix}x_1\\y_1\\z_1 \end{pmatrix} \,\, \text{and}$$ $$\overrightarrow{OB} = \vec{b} = \begin{pmatrix}x_2\\y_2\\z_2 \end{pmatrix}$$ is equal to the magnitude of the vector
$$\vec{a} \times \vec{b} .$$ Consequently,
$$\alpha (\triangle ACB) = \dfrac{1}{2} (\alpha (OACB)) $$ $$= \dfrac{1}{2} \left|\vec{a} \times \vec{b}\right|.$$
Example 12.
Find the area of the parallelogram determined by the vectors
$$\vec{a} = \begin{pmatrix}1\\2\\3\end{pmatrix} \,\, \text{and} \,\, \vec{b} = \begin{pmatrix}1\\4\\-1\end{pmatrix}$$
Solution
We can find that
$$\vec{a} \times \vec{b} = \begin{pmatrix}1\\2\\3\end{pmatrix} \times \begin{pmatrix}1\\4\\-1\end{pmatrix}$$ $$= \begin{pmatrix}2\times(-1) \quad - \quad 3\times 4\\ 3\times 1 \quad - \quad 1\times(-1)\\ 1\times 4 \quad - \quad 2\times 1 \end{pmatrix} $$ $$= \begin{pmatrix}-14\\4\\2\end{pmatrix} .$$ $$\text{Now,}\quad \left|\vec{a} \times \vec{b}\right| = \sqrt{196 + 16 + 4} = \sqrt{216}.$$ Therefore the area of the parallelogram is
$$\sqrt{216} \,\, \text{unit}^2.$$
Example 13.
Find the area of the triangle ABC with vertices A(1, -1, 3), B(0, 4, 1) and C(2, 7, 2).
Solution
$$\overrightarrow{AB} = \overrightarrow{OB} - \overrightarrow{OA}$$ $$= \begin{pmatrix}0\\4\\1\end{pmatrix} - \begin{pmatrix}1\\-1\\3\end{pmatrix} = \begin{pmatrix}-1\\5\\-2\end{pmatrix}\,\, \text{and}$$ $$\overrightarrow{AC} = \overrightarrow{OC} - \overrightarrow{OA}$$ $$= \begin{pmatrix}2\\7\\2\end{pmatrix} - \begin{pmatrix}1\\-1\\3\end{pmatrix} = \begin{pmatrix}1\\8\\-1\end{pmatrix}.$$ Then, we find their vector product
$$\overrightarrow{AB} \times \overrightarrow{AC} = \begin{pmatrix}-1\\5\\-2\end{pmatrix} \times \begin{pmatrix}1\\8\\-1\end{pmatrix}$$ $$= \begin{pmatrix}11\\-3\\-13\end{pmatrix}.$$ $$\text{Next} \,\, \left|\overrightarrow{AB} \times \overrightarrow{AC}\right| = \sqrt{11^2 + (-3)^2 + (-13)^2}$$ $$= \sqrt{299}.$$ Therefore, we have
$$\text{Area of triangle} \,\, ABC \,\, = \dfrac{1}{2} \left|\overrightarrow{AB} \times \overrightarrow{AC}\right|$$ $$= \dfrac{1}{2} \sqrt{299} \,\, \text{unit}^2.$$
Algebraic Properties of the Vector Product
Geometric Properties of the Vector Product
$$\left|\vec{a} \times \vec{b}\right| = \left|\vec{a}\right| \left|\vec{b}\right|.$$
Example 14.
$$\text{(a) \,\, Calculate}\,\, \vec{a} \times \vec{b} \,\, \text{when}$$ $$\vec{a} = 3\hat{i} + 2\hat{j} + 5\hat{k} \,\, \text{and}$$ $$\vec{b} = \hat{i} - 4\hat{j} + 2\hat{k}.$$ $$\text{(b) \,\, Find a unit vector}\,\, \hat{n} \,\, \text{that is perpendicular}$$ $$\text{to both} \,\, \vec{a} \,\, \text{and} \,\, \vec{b}.$$ Solution
$$\text{(a)} \quad \vec{a} \times \vec{b} = \begin{pmatrix}3\\2\\5\end{pmatrix} \times \begin{pmatrix}1\\-4\\2\end{pmatrix}$$ $$= \begin{pmatrix}2\times 2 \quad - \quad 5 \times (-4)\\ 5\times 1 \quad - \quad 3 \times 2\\ 3 \times (-4) \quad - \quad 2\times 1 \end{pmatrix}$$ $$= \begin{pmatrix}24\\-1\\-14\end{pmatrix}.$$
$$\text{(b)} \quad \vec{a} \times \vec{b} = \begin{pmatrix}24\\-1\\-14 \end{pmatrix}$$ This vector is perpendicular to
$$\vec{a} \,\, \text{and} \,\, \vec{b}.$$ $$\left|\vec{a} \times \vec{b}\right| = \sqrt{24^2 + (-1)^2 + -(14)^2}$$ $$= \sqrt{773}.$$ So, a unit vector perpendicular to both
$$\vec{a} \,\, \text{and}\,\, \vec{b} \,\, \text{is}$$ $$\hat{n} = \dfrac{1}{\sqrt{773}} \begin{pmatrix}24\\-1\\-14\end{pmatrix}.$$
Example 15.
$$\text{Given that} \,\, \left|\vec{a}\right| = 4, \,\, \left|\vec{b}\right| = 5 \,\, \text{and that}$$ $$\vec{a} \,\, \text{and}\,\, \vec{b} \,\, \text{are perpendicular, evaluate}$$ $$\left|(2\vec{a} - \vec{b}) \times (\vec{a} + 3\vec{b})\right|.$$ Solution $$(2\vec{a} - \vec{b}) \times (\vec{a} + 3\vec{b})$$ $$= 2\vec{a}\times\vec{a} \,\, + \,\, 2\vec{a}\times 3\vec{b} \,\, - \vec{b}\times \vec{a} \,\, - \,\, \vec{b}\times 3\vec{b}$$ $$= 2(\vec{a}\times\vec{a}) + 6(\vec{a}\times \vec{b}) - (\vec{b}\times \vec{a}) - 3(\vec{b}\times\vec{b})$$ $$= 6(\vec{a}\times\vec{b}) - (\vec{b}\times\vec{a})$$ $$= 6(\vec{a}\times\vec{b}) + (\vec{a}\times\vec{b})$$ $$= 7(\vec{a}\times\vec{b}).$$ $$\left|(2\vec{a} - \vec{b}) \times (\vec{a} + 3\vec{b})\right| = 7\left|\vec{a}\times\vec{b}\right|$$ $$= 7\left|\vec{a}\right| \left|\vec{b}\right|$$ $$=140 .$$
Exercise 4.3
1. Find a vector perpendicular to the following pair of vectors:
$$\text{(a)} \,\, \begin{pmatrix}3\\1\\1\end{pmatrix} \,\, \text{and} \,\, \begin{pmatrix}1\\2\\3 \end{pmatrix}$$
$$\text{(b)} \,\, \begin{pmatrix}3\\-1\\4\end{pmatrix} \,\, \text{and} \,\, \begin{pmatrix}-1\\1\\5\end{pmatrix}$$
$$\text{2. \,\, Consider} \,\, \vec{a} = \begin{pmatrix}2\\-1\\3\end{pmatrix} \,\, \text{and} \,\, \vec{b} = \begin{pmatrix}1\\0\\-1\end{pmatrix}.$$
$$\text{(a)\,\, Find} \,\, \vec{a} \times \vec{b} .$$
$$\text{(b)\,\, Find sin}\,\, \theta \,\, \text{using} \,\, \left|\vec{a} \times \vec{b}\right| = \left|\vec{a}\right| \left|\vec{b}\right| \,\, \text{sin} \,\, \theta.$$
$$\text{3. \,\, Prove that for any two vectors}\,\, \vec{a}\,\, \text{and} \,\, \vec{b},$$
$$\left|\vec{a} \times \vec{b}\right|^2 \,\, + \,\, \left(\vec{a}\cdot\vec{b}\right)^2 \,\, =\,\, \left|\vec{a}\right|^2 \left|\vec{b}\right|^2.$$
4. Given points A, B and C with coordinates (3, -5, 1), (7, 7, 2) and (-1, 1, 3).
$$\text{(a) \,\, Calculate} \,\, \vec{p} = \overrightarrow{AB} \times \overrightarrow{AC} \,\, \text{and} $$
$$ \vec{q} = \overrightarrow{BA} \times \overrightarrow{BC}.$$
$$\text{(b) \,\, What can you say about vectors} \,\, \vec{p}\,\, \text{and}\,\, \vec{q}\,?$$
5. The points A(3, 1, 2), B(-1, 1, 5) and C(7, 2, 3) are vectors of a parallelogram ABCD.
(a) Find the coordinates of D.
(b) Calculate the area of the parallelogram.
4.4 Lines and Planes in Space
Lines in Three-Dimensional Space
A direction vector of a straight line is a vector parallel to the line.
In three dimensions geometry we can determine the equation of a line using its direction and any fixed point
on the line.
Suppose a line passes through a fixed point A with
$$\overrightarrow{OA} = \vec{a}$$
$$\small{\text{and that the line is parallel to a vector}} \,\,\vec{b} .$$
Let R be any point on the line with
$$\overrightarrow{OR} = \vec{r}\, .$$

Then
$$\overrightarrow{OR} = \overrightarrow{OA} + \overrightarrow{AR} \, .$$
$$\text{Since} \,\, \overrightarrow{AR} \parallel \vec{b}\, ,$$
$$\overrightarrow{AR} = t \, \vec{b} \,\,\, \text{for some} \,\, t \in \mathbb{R}\, ,$$
$$\vec{r} = \vec{a} + t \, \vec{b} \, .$$
$$\text{So} \,\,\, \vec{r} = \vec{a} + t\vec{b}, \quad t \in \mathbb{R}$$
is the vector equation of the line.
In three dimensions,
$$\small{\text{Let} \quad \overrightarrow{OR} = \vec{r} = \begin{pmatrix}x\\y\\z\end{pmatrix} \, ,}$$
$$\small{ \vec{a} = \begin{pmatrix}a_1\\a_2\\a_3\end{pmatrix} \,\, \text{and} \,\, \vec{b} = \begin{pmatrix}b_1\\b_2\\b_3\end{pmatrix}\, .}$$
$$ \begin{pmatrix}x\\y\\z\end{pmatrix} = \begin{pmatrix}a_1\\a_2\\a_3\end{pmatrix} + t \begin{pmatrix}b_1\\b_2\\b_3\end{pmatrix}$$
is the vector equation of the line where R(x, y, z) is any point on the line, B(a1, a2,
a3) is the known (fixed) point on the line and
$$\vec{b} = \begin{pmatrix}b_1\\b_2\\b_3\end{pmatrix}$$
is the direction vector of the line.
$$\text{Since} \,\, \begin{pmatrix}x\\y\\z\end{pmatrix} = \begin{pmatrix}a_1 + tb_1\\ a_2 + tb_2\\ a_3 + tb_3\end{pmatrix} \, ,$$
we can write the parametric equation of the line as
Each point on the line corresponds to exactly one value of t.
By equating t values, we obtain the Cartesian equation of the line
x - a1 ⁄b1 =
y - a2 ⁄b2 =
z - a3 ⁄b3
Example 16.
Find the Cartesian equation of the line with vector equation
$$\small{\vec{r} = \begin{pmatrix}1\\4\\-1\end{pmatrix} + t \begin{pmatrix}3\\2\\5\end{pmatrix}\, .}$$
Solution
The vector equation is
$$\small{\vec{r} = \vec{a} + t \vec{b}\, ,\, \, \text{therefore} }$$
$$\small{ \begin{pmatrix}x\\y\\z\end{pmatrix} = \begin{pmatrix}1\\4\\-1\end{pmatrix} + t \begin{pmatrix}3\\2\\5\end{pmatrix}\, , \,\,
t \isin \mathbb{R}\,. }$$
The parametric equations are:
x = 1 + 3t, t =
x - 1 ⁄3 ,
y = 4 + 2t, t =
y - 4 ⁄2 ,
z = -1 + 5t, t =
z + 1 ⁄5 .
The Cartesian equation of the line is
x - 1 ⁄3 =
x - 4 ⁄2 =
x + 1 ⁄5 .
Example 17.
Does the point A(3, -2, 2) lie on the line with equation
x + 1 ⁄2 =
4 - y ⁄3 =
2z ⁄3 ?
Solution
Consider the given Cartesian equation passing through the point A(3, -2, 2).
x + 1 ⁄2 =
3 + 1 ⁄2 = 2
4 - y ⁄3 =
4 + 2 ⁄3 = 2
2z ⁄3 =
2 × 2 ⁄3 =
4 ⁄3
and so
2 = 2 ≠
4 ⁄3 .
The coordinates do not satisfy the Cartesian equation. Therefore the point does not lie on the line.
Planes in Three Dimensions
To determine the vector equation of the plane, we requires extension of the ideas of the equation of line. Think of a very simple example, the xy-plane.
The position vector of any point in the xy-plane is a sum of scalar multiples of î and ĵ, so î and ĵ can be considered direction vectors for the
xy-plane.
More generally, for any plane through the origin, if we fix two nonparallel vectors in that plane, the position vector of any point in the plane is a sum of
scalar multiples of those two vectors.

If plane does not pass through the origin, we have to make a further turn: we need to shift the plane and its vectors by adding the position vector of some
point on the plane.
Consider A, B and C be three noncolinear points on the plane with
$$\small{\overrightarrow{OA} = \vec{a} \, . \,\,\, \text{Let} \,\, \vec{d_1}\,\, \text{and} \,\, \vec{d_2}}$$
be the two nonparallel vectors on the plane.

If the plane passing through A and having two nonparallel vectors
$$\small{\vec{d_1} \,\, \text{and} \,\, \vec{d_2}, \,\, \text{the position vector} \,\, \vec{r} } $$
of any point R on the plane is given by following equation.
Any vector that is perpendicular to a plane is called a normal vector or simply normal to the plane. We can find
the normal to a plane by finding the cross product of the two nonparallel vectors of the plane. Normal is perpendicular to every line on the plane.
To find the different vector form of the equation of a plane,
$$ \small{\text{we can use the position vector} \,\, \vec{a} }$$
$$\small{ \text{of one point and the normal vector} \,\, \vec{n} }$$
is perpendicular to the plane.

Thus we consider a plane passing through a point A with position vector
$$\small{\vec{a} \,\, \text{and} \,\, \vec{n} = a\hat{i} + b\hat{j} + c\hat{k} }$$
is perpendicular to the given plane.
$$\small{ \text{Let} \,\, \vec{r} \,\, \text{be the position vector of an arbitrary point} }$$
R(x, y, z) on the plane. Since AR is a line in the plane, it follows that AR is at right angle
$$\small{ \text{ to the normal vector}\,\, \vec{n}\,.}$$
$$\small{\vec{n} \cdot \overrightarrow{AR} = 0.}$$
$$\small{ \text{The vector} \,\, \overrightarrow{AR} \,\, \text{is given by} \,\, \overrightarrow{AR} = \vec{r} - \vec{a} \,\, \text{and so} }$$
$$\small{\left(\vec{r} - \vec{a}\right) \cdot \vec{n} = 0 \,.}$$
This is the vector equation of the plane. We can write this in an alternative form as
$$\small{ \vec{r} \cdot \vec{n} - \vec{a} \cdot \vec{n} = 0 }$$
$$\small{ \vec{r} \cdot \vec{n} = \vec{a} \cdot \vec{n} }$$
$$\small{ \begin{pmatrix}x\\y\\z\end{pmatrix} \cdot \begin{pmatrix}a\\b\\c\end{pmatrix} = \vec{a} \cdot \vec{n} }$$
ax + by + cz = d where $$\small{ \begin{pmatrix}a\\b\\c\end{pmatrix} \,\, \text{is the normal vector of the plane}. }$$
Example 18.
Find the vector equation of the plane containing points M(2, 2, -2), N(1, -1, 3) and P(4, 0, 2).
Solution
$$\small{ \text{Let} \,\, \vec{a} = \overrightarrow{OM} = \begin{pmatrix}2\\2\\-2\end{pmatrix}\, .} $$
We can find that
$$\small{ \vec{d_1} = \overrightarrow{MN} = \overrightarrow{ON} - \overrightarrow{OM} }$$
$$\small{ = \begin{pmatrix}1\\-1\\3\end{pmatrix} - \begin{pmatrix}2\\2\\-2\end{pmatrix} = \begin{pmatrix}-1\\-3\\5\end{pmatrix} ,} $$
$$\small{ \vec{d_2} = \overrightarrow{MP} = \overrightarrow{OP} - \overrightarrow{OM} }$$
$$\small{ = \begin{pmatrix}4\\0\\2\end{pmatrix} - \begin{pmatrix}2\\2\\-2\end{pmatrix} = \begin{pmatrix}2\\-2\\4\end{pmatrix} .} $$
Therefore the vector equation of the plane is
$$\small{\vec{r} = \vec{a} + t_1\vec{d_1} + t_2\vec{d_2} }$$
$$\small{ = \begin{pmatrix}2\\2\\-2\end{pmatrix} + t_1 \begin{pmatrix}-1\\-3\\5\end{pmatrix} + t_2 \begin{pmatrix}2\\-2\\4\end{pmatrix} .} $$

Example 19.
Find the Cartesian equation of the plane containing points M(2, 2, -2), N(1, -1, 3) and P(4, 0, 2).
Solution
The equation of the plane containing M, N and P is
$$\small{ \begin{pmatrix}x\\y\\z\end{pmatrix} = \begin{pmatrix}2\\2\\-2\end{pmatrix} + t_1 \begin{pmatrix}-1\\-3\\5\end{pmatrix} + t_2
\begin{pmatrix}2\\-2\\4\end{pmatrix} . \,\, \text{(See Example 18)} }$$
x = 2 - t1 + 2t2 ______(1)
y = 2 - 3t1 - 2t2 ______(2)
z = -2 + 5t1 + 4t2 ______(3)
Add equation (1) and (2),
x + y = 4 - 4t1 ______(4)
Multiply equation (2) by 2 and then add (3),
2y + z = 2 - t1 ______(5)
From equation (4) and (5), we obtain
x + y - 4 ⁄-4 =
2y + z - 2 ⁄-1
-x - y + 4 = -8y - 4z + 8
x - 7y - 4z = -4 .
Example 20.
Determine whether points A(3, -1, 4) , B(2, 1, 1), C(4, 3, 1) and D(-3, 1, 4) lie in the same plane.
Solution
The equation of the plane containing A, B and C is
$$\small{ \vec{r} = \overrightarrow{OA} + t_1 \overrightarrow{AB} + t_2 \overrightarrow{AC} }$$
$$\small{ = \begin{pmatrix}3\\-1\\4\end{pmatrix} + t_1 \begin{pmatrix}-1\\2\\-3\end{pmatrix} + t_2 \begin{pmatrix}1\\4\\-3\end{pmatrix} . }$$
If D is on the plane, then
$$\small{\vec{r} = \overrightarrow{OD} ,}$$
3 - t1 + t2 = -3 ______(1)
-1 + 2t1 + 4t2 = 1 ______(2)
4 - 3t1 - 3t2 = 4 ______(3)
Multiply equation (1) by 2, we get
-2t1 + 2t2 = -12 . ______(4)
From (2) and (4), we obtain
t1 =
13 ⁄3 , t2 = -
5 ⁄3 .
Substitute the values of t1 and t2 in left hand side of equation (3), we get
4 - 3(
13 ⁄3) - 3 ( -
5 ⁄3) = -4 ≠ 4 .
So, D does not lie on the same plane as A, B and C .
Example 21.
Find a vector equation of the plane containing the line
$$\small{ \vec{r} = \begin{pmatrix}-2\\ 1\\ 2\end{pmatrix} + t \begin{pmatrix}-1\\1\\1\end{pmatrix} }$$
and point A(3, -1, 2).
Solution
$$\small{ \text{Let} \,\, \overrightarrow{OA} = \begin{pmatrix}3\\-1\\2\end{pmatrix} .}$$
$$\small{ \text{The vector} \,\, \vec{d_1} = \begin{pmatrix}-1\\1\\1\end{pmatrix} }$$
is on the plane.
B(-2, 1, 2) is on the plane and so
$$\small{ \vec{d_2} = \overrightarrow{AB} = \overrightarrow{OB} - \overrightarrow{OA} }$$
$$\small{ = \begin{pmatrix}-2\\1\\2\end{pmatrix} - \begin{pmatrix}3\\-1\\2\end{pmatrix} = \begin{pmatrix}-5 \\2\\0\end{pmatrix} . }$$
$$\small{ \text{We see that} \,\, \vec{d_2} \,\, \text{is also on the plane.} }$$
Therefore the vector equation of the plane is
$$\small{ \vec{r} = \begin{pmatrix}3\\-1\\2\end{pmatrix} + t_1 \begin{pmatrix}-1\\1\\1\end{pmatrix} + t_2 \begin{pmatrix}-5\\2\\0\end{pmatrix} . }$$

Example 22.
$$\small{ \text{Vector} \,\, \vec{n} = \begin{pmatrix}2 \\ 4\\-2\end{pmatrix} \,\, \text{is perpendicular} }$$
to the plane which contains point A(1, -5, 2) .
(a) Write an equation of the plane in the form
$$\small{ \vec{r} \cdot \vec{n} = d .}$$
(b) Find the Cartesian equation of the plane.
Solution
(a) The vector equation of the plane is
$$\small{ \vec{r} \cdot \vec{n} = \vec{a} \cdot \vec{n}. }$$
$$\small{ \vec{r} \cdot \vec{n} = \begin{pmatrix}1\\-5\\2\end{pmatrix} \cdot \begin{pmatrix}2\\4\\-2\end{pmatrix} }$$
$$\small{ \text{(b)} \qquad \vec{r} \cdot \vec{n} = d }$$ $$\small{ \begin{pmatrix}x\\y\\z\end{pmatrix} \cdot \begin{pmatrix}2\\4\\-2\end{pmatrix} = -22 }$$

1. Find the vector equation of the line:
$$\small{ \text{(a) \,\,\, parallel to} \,\, \begin{pmatrix}2\\1\\3\end{pmatrix} }$$
and through the point (1, 3, -7).
(b) through (0, 1, 2) and with direction vector î + ĵ - 2k̂ .
(c) parallel to the x-axis and through the point (-2, 2, 2).
2. (a) Find the Cartesian equation of the line with parametric equation
x = 3t + 1, y = 4 - 2t, z = 3t - 1.
(b) Find the unit vector in the direction of the line.
3. Find the equation of the plane:
$$\small{ \text{(a) \,\, with normal vector}\,\, \begin{pmatrix}2\\-1\\3\end{pmatrix} }$$
and which passes through (-1, 2, 4).
(b) perpendicular to the line joining points A(2, 3, 1) and B(5, 7, 2) and which passes through A.
(c) containing A(3, 2, 1) and the line x = 1 + t , y = 2 - t, z = 3 + 2t.
4. Find the equation of the plane through A(-1, 2, 1), B(4, 1, 1) and C(2, 0, 3):
(a) in vector form (b) in Cartesian form.
5. Find the Cartesian equation of the plane with vector equation
$$\small{ \vec{r} = \begin{pmatrix}1\\2\\3\end{pmatrix} + t_1 \begin{pmatrix}1\\1\\2\end{pmatrix} + t_2 \begin{pmatrix}2\\-1\\5\end{pmatrix} .} $$
