Chapter 3
Analytical Solid Geometry
We have learned points and lines in two-dimensional rectangular coordinate system. In this chapter, we will extend the system to three dimensions.3.1 Coordinates of a Point in Space
In the plane, each point is associated with an order paired of real number. In space, each point is associated with an ordered triple of real numbers. Through a fixed point, called the origin O, draw three mutually perpendicular lines: the x-axis, they-axis and the z-axis. A point P in space is determined by an ordered triple (x, y, z) of real numbers as shown in the diagram. These numbers x, y, z are called the coordinate of P.
The xy-plane consists of the x-axis and the y-axis, the z-axis is perpendicular to the xy-plane. The coordinates of the points on the xy-plane are of the form (x, y, 0).
The yz-plane consists of the y-axis and z-axis, and the x-axis is perpendicular to the yz-plane. The coordinates of the points on the yz-plane are of the form (0, y, z).

The zx-plane consists of the x-axis and the z-axis, and the y-axis is perpendicular to the zx-plane. The coordinates of the points on the zx-plane are of the form (x, 0, z).
The equation of xy-plane, yz-plane and zx-plane are as shown in the following table.
| Plane | Equation | Coordinate |
|---|---|---|
| xy-plane | z = 0 | (x, y, 0) |
| yz-plane | x = 0 | (0, y, z) |
| zx-plane | y = 0 | (x, 0, z) |
Planes parallel to xy-plane: Equation of any plane parallel to the xy-plane is z = c, and the coordinates of the points on that plane are of the form (x, y, c).

Planes parallel to yz-plane: Equation of any plane parallel to the xy-plane is x = a, and the coordinates of the points on that plane are of the form (a, y, z).
Planes parallel to zx-plane: Equation of any plane parallel to the xy-plane is y = b, and the coordinates of the points on that plane are of the form (x, b, z).




Lines perpendicular to xy-plane: Equation of any line perpendicular to the xy-plane and passing through the point (a, b, c) is x = a, y = b, and the coordinates of the points on that line are of the form (a, b, z).

Lines perpendicular to yz-plane: Equation of any line perpendicular to the yz-plane and passing through the point (a, b, c) is y = b, z = c, and the coordinates of the points on that line are of the form (x, b, c).
Lines perpendicular to zx-plane: Equation of any line perpendicular to the zx-plane and passing through the point (a, b, c) is z = c, x = a, and the coordinates of the points on that line are of the form (a, y, c).
Example 1.
Find the equation of the line through the point (-3, 5, 7) and perpendicular to
(a) xy-plane (b) yz-plane (c) zx-plane
Find the point of intersection of the line and plane.
Solution
(a) The equation of the line through the point (-3, 7, 5) and perpendicular to
x = -3, y = 5 or (-3, 5, z)
The point of intersection of the line and xy-plane is (-3, 5, 0).
(b) The equation of the line through the point (-1, 5, 7) and perpendicular to yz-plane is
y = 5, z = 7 or (x, 5, 7)
The point of intersection of the line and yz-plane is (0, 5, 7).
(c) The equation of the line through the point (-3, 5, 7) and perpendicular to zx-plane is
z = 7, x = -3 or (-3, y, 7).
The point of intersection of the line and zx-plane is (-3, 0, 7).
Note that
| • equation of x-axis: y = 0, z = 0 • equation of y-axis: x = 0, z = 0 • equation of z-axis: x = 0, y = 0 |
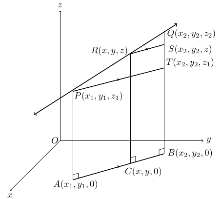
Distance between two points: From the right triangle PAB, we have PB2 = AB2 + PA2.

Then from the right triangle PBQ, we have
PQ2 = PB2 + BQ2
= AB2 + PA2 + BQ2
= (x2 - x1)2 + (y2 - y1)2 + (z2 - z1)2
So, the distance between P(x1, y1, z1) and Q(x2, y2, z2) is
PQ = √ (x2 - x1)2 + (y2 - y1)2 + (z2 - z1)2
- Find the equation of the plane containing the point (1, -2, 3) and parallel to (a) xy-plane (b) yz-plane (c) zx-plane.
- Find the equation of the line through the point (2, 3, -4) and perpendicular to (a) xy-plane (b) yz-plane (c) zx-plane.
- Find the distance between the points (2, -3, 5) and (7, 5, -2).
- Show that the points (-1, 2, 5), (1, 1, 6) and (0, 5, 6) form a right triangle.
- Show that the points (1, -1, 2), (3, -2. 3) and (5, -3, 4) are collinear.
Find the point of intersection of the line and plane.
3.2 Lines
Directed value of a line segment: For a line segment PQ, directed values (l, m, n) of PQ, where P is (x1, y1, z1) and Q is (x2, y2, z2) is defined by| (PQ) = (l,m,n) = (x2 - x1, y2 - y1, z2 - z1) |
Then the length of the segment PQ is
| PQ = √ (x2 - x1)2 + (y2 - y1)2 + (z2 - z1)2 = √ l2 + m2 + n2 |
Real numbers and points on the line: For every real number k, there is a point R on the line PQ with respect to point P and k vice versa.
Case 1. 0 ≤ k ≤ 1
Point R is between P and Q such that PR = kPQ.
Draw PA, RC and QB perpendicular to xy-plane: AB is projection of PQ on xy-plane.
Draw PT ∥ AB and RS ∥ AB.

Then TS ⁄ TQ = PR ⁄ PQ
z - z1⁄ z2 - z1 = k
z = z1 + k(z2 - z1)
z = z1 + kn
Similarly, by drawing the projection of PQ on yz-plane, we have
x - x1 ⁄ x2 - x1 = k
x = x1 + k(x2 - x1)
x = x1 + kl
and by drawing the projection of PQ on a zx-plane, we have
y - y1 ⁄ y2 - y1 = k
y = y1 + k(y2 - y1)
y = y1 + km
Case 2. k > 1
Point R is after Q such that PR = kPQ.
Draw PT ∥ AC and QS ∥ AC. Then we have

TR⁄ TS = PR⁄PQ
z - z1 ⁄ z2 - z1 = k
z = z1 + k(z2 - z1)
z = z1 + kn
Case 3. k < 0.
Point R is before P such that RP = -kPQ.
Draw PT ∥ CB and RS ∥ CB. Then we have

ST ⁄ TQ = RP⁄ PQ
z1 - z ⁄ z2 - z1 = -k
z = z1 + k(z2 - z1)
z = z1 + kn
Similarly, for Case 2 and Case 3,
x - z1 ⁄ x2 - x1 = k
x = x1 + k(x2 - x1)
x = x1 + kl
y - y1 ⁄ y2 - y1 = k
y = y1 + k(y2 - y1)
y = y1 + km
Therefore the coordinates of point R on the line PQ with respect to the point P and a real number k are
| (x, y, z) = (x1 + kl, y1 + km, z1 + kn) |
This equation is called coordinate form of the equation of line PQ and k is called a parameter.
In general, if a segment of a line through (x, y, z) has directed values (l, m, n) which are not equal to 0, then the equation of the line can be written as
| x - x1 ⁄ l = y - y1 ⁄ m = z - z1 ⁄ n |
Since
(PR) = (x1 + kl - x1, y1 + km - y1, z1 + kn - z1)
= (kl, km, kn)
and R is any point on the line PQ with (PQ) = (l, m, n), we may define directed values of the line PQ as (kl, km, kn) where k is a real number.
Example 2.
Given P(1, 2, 3) and Q(3, 6, 5), find the coordinates of point R(x, y, z) on the line PQ with rspect to the point P and the following parameters.
(a) k = 1 ⁄ 2 (b) k = 2 (c) k = -2
Solution
Given P(1, 2, 3) and Q(3, 6, 5), we have (PQ) = (l, m, n) = (2, 4, 2)
(a) k = 1⁄ 2
(x, y, z) = (1 + 1⁄ 2(2), 2 + 1 ⁄ 2(4), 3 + 1 ⁄ 2(2) ) = (2, 4, 4)
(b) k = 2
(x, y, z) = (1 + 2(2), 2 + 2(4), 3 + 2(2) ) = (5, 10, 7)
(c) k = -2
(x, y, z) = (1 + (-2)(2), 2 + (-2)(4), 3 + (-2)2 ) = (-3, -6, -1)
Example 3.
Given P(-1, 2, 3) and Q(3, 5, -2), determine whether or not the following points are on the line PQ. If the point is on the line PQ, Find the corresponding parameter with respect to the point P.
(a) (1, 7 ⁄ 2, 1 ⁄2) (b) (7, 8, -7)
(c) (-5, -1, 8) (d) (7, 8, -2)
Solution
Given P(-1, 2, 3) and Q(3, 5, -2), we have (PQ) = (l, m, n) = (4, 3, -5). The equation of the line PQ is
x + 1 ⁄ 4 = y - 2 ⁄ 3 = z - 3 ⁄ -5
(a) If (x, y, z) = (1, 7 ⁄ 2, 1 ⁄2), then
x + 1 ⁄4 = 1 + 1 ⁄4 = 1 ⁄2
y - 2 ⁄3 = 7 ⁄2 - 2 ⁄3 = 1 ⁄2
z - 3 ⁄-5 = 1 ⁄2 - 3 ⁄-5 = 1 ⁄2
and so x + 1 ⁄4 = y - 2 ⁄3 = z - 3 ⁄-5 for (x, y, z) = (1, 7 ⁄2, 1 ⁄2).
Therefore the point (1, 7 ⁄2, 1 ⁄2) is on the line PQ, corresponding parameter is 1 ⁄2.
(b) If (x, y, z) = (7, 8, -7), then
x + 1 ⁄4 = 7 + 1 ⁄4 = 2
y - 2 ⁄3 = 8 - 2 ⁄3 = 2
z - 3 ⁄-5 = -7 - 3 ⁄-5 = 2
and so x + 1 ⁄4 = y - 2 ⁄3 = z - 3 ⁄-5 for (x, y, z) = (7, 8. -7)
Therefore the point (7, 8, -7) is on the line PQ, corresponding parameter is 2.
(c) If (x, y, z) = (-5, -1, 8), then
x + 1 ⁄4 = -5 + 1 ⁄4 = -1
y - 2 ⁄3 = -1 - 2 ⁄3 = -1
z - 3 ⁄-5 = 8 - 3 ⁄-5 = -1
and so x + 1 ⁄4 = y - 2 ⁄3 = z - 3 ⁄-5 for (x, y, z) = (-5, -1, 8).
Therefore the point (-5, -1, 8) is on the line PQ, corresponding parameter is -1.
(d) If (x, y, z) = (7, 8, -2), then
x + 1 ⁄4 = 7 + 1 ⁄4 = 2
y - 2 ⁄3 = 8 - 2 ⁄3 = 2
z - 3 ⁄-5 = -2 - 3 ⁄-5 = 1
and so x + 1 ⁄4 = y - 2 ⁄3 ≠ z - 3 ⁄-5 for (x, y, z) = (7, 8, -2)
Therefore the point (7, 8, -2) is not on the line PQ.
Example 4.
Given P(2, 1, 3) and Q(6, -5, 3), determine whether or not the following points are on the line PQ. If the point is on the line PQ, find the corresponding parameter with respect to the point P.
(a) (4, -2, 3) (b) (-2, 7, 3)
(c) (10, -11, 3) (d) (1, 1, 3)
Solution
Given P(2, 1, 3) and Q(6, -5, 3), we have (PQ) = (l, m, n) = (4, -6, 0).
Then the coordinates of the point (x, y, z) on the line PQ are
(x, y, z) = (2 + 4k, 1 - 6k, 3)
This means that the line PQ is on the plane z = 3.
(a) If (x, y, z) = (4, -2, 3), then
(4, -2, 3) = (2 + 4k, 1 - 6k, 3)
we have k = 1 ⁄2. Therefore the point (4, -2, 3) is on the line PQ with corresponding parameter 1 ⁄2.
(b) If (x, y, z) = (-2, 7, 3), then
(-2, 7, 3) = (2 + 4k, 1 - 6k, 3)
We have k = -1. Therefore the point (-2, 7, 3) is on the line PQ with corresponding parameter -1.
(c) If (x, y, z) = (10, -11, 3), then
(10, -11, 3) = (2 + 4k, 1 - 6k, 3)
We have k = 2. Therefore the point (10, -11, 3) is on the line PQ with corresponding parameter 2.
(d) If (x, y, z) = (1, 1, 3), then
(1, 1, 3) = (2 + 4k, 1 - 6k , 3)
There is no value k that satisfies this condition. Therefore the point (1, 1, 3) is not on the line PQ.
Exercise 3.2
- Given P(3, 1, 5) and Q(-3, 7, -2), find the coordinates of point R(x, y, z) on the line PQ with respect to the point P and the following parameters. (a) k = 1 ⁄ 2 (b) k = 3 (c) k = -2
- Given P(-2, 1, 3) and Q(4, 4, -3), determine whether of not the following points are on the line PQ. If the point is on the line PQ, find the corresponding parameter with respect to the point P. (a) (6, 3, -6) (b) (6, 5, -5)
- Given P(3, 2, -1) and Q(4, 2, 5), determine whether or not the following points are on the line PQ. If the point is on the line PQ, find the corresponding real number with respect to the point P. (a) (5, 2, 11) (b) (2, 2, -7)
- Find the points of intersection of the line joining the two points (2, 4, 5) and (3, 5, -4) with the following planes. (a) xy-plane (b) yz-plane (c) zx-plane
(c) (-4, 0, 5) (d) (7, 8, -2)
(c) (7 ⁄ 2, 2, 2) (d) (6, 2, 10)
3.3 Parallel, Skew and Perpendicular Lines
Parallel lines:

If P is (x1, y1, z1) and Q is (x2, y2, z2) with directed values, (PQ) = (l, m, n) = (x2 - x1, y2 - y1, z2 - z1) then segment PQ and segment OA where A = (l, m, n) are parallel and PQ = OA as shown in the given figure.
So line PQ and line OA are parallel if they have same directed values. But if directed values of a line are given by (l, m, n), then (kl, km, kn) are also directed values of the line. Therefore line PQ and line OA are parallel if their directed values multiples of each other by a real number k. Any line parallel to the line OA is also parallel to the line PQ, so that
Two lines are parallel if and only if their directed values are multiples of each other by some real number.
For example, if line PQ has a directed values (2, 3, 5) and line RS has a directed values (4, 6, 10) then PQ ∥ RS.
Skew Lines: In space, there are pair of lines that are neither parallel nor intersect. These pairs of lines are called skew lines.
Example 5.
Given P(2, 1, 3), Q(6, -5, 4), R(2, 3, 4) and S(-1, 5, 1), determine whether the lines PQ and RS are parallel or skew or intersect.
Solution
For P(2, 1, 3) and Q(6, -5, 4),
(PQ) = (4, -6, 1)
For R(2, 3, 4)and S(-1,5,1),
(RS) = (-3, 2, -3) are not parallel.
Since 4 ⁄ -3 ≠ - 6 ⁄ 2 ≠ 1 ⁄ -3, directed values of PQ are not multiple of RS.
So the two lines are not parallel.
If a point (x, y, z) is on the line PQ and RS, then
| x = 2 + 4s | x = 2 - 3t |
| y = 1 - 6s | y = 3 + 2t |
| z = 3 + s | z = 4 - 3t |
Then we have the following system of three equations
| 2 + 4s | = 2 - 3t |
| 1 - 6s | = 3 + 2t |
| 3 + s | = 4 - 3t |
3 + (- 3 ⁄ 5) ≠ 4 - 3( 4 ⁄ 5)
these values of s and t do not satisfy the last equation.
So the system of equations has no solution and hence the given lines do not intersect each other. Therefore the given lines are skew.
Finding the measure of ∠PAQ : Consider P(x1, y1, z1), A(a, b, c) and Q(x2, y2, z2),
| (AP) | = (l1, m1>1, n1) = (x1 -a, y1 - b, z1 - c) |
| (AQ) | = (l2, m2, n2) = (x2 - a, y2 - b, z2 - c) |
| (PQ) | = (l3, m3, n3) |
| = (x2 - x1, y2 - y1, z2 - z1) | |
| = (l2 - l1, m2 - m1, n2 - n1) |
= l12 + m12 + n12 + l22 + m22 + n22 - (l2 - l1)2 - (m2 - m1)2 - (n2 - n1)2
= 2(l1l2 + m1m2 + n1n2)
By the law of cosines,
| cos ∠PAQ | = (AP)2 + (AQ)2 - (PQ)2 ⁄ 2 . AP . AQ |
| = 2 (l1l2 + m1m2 + n1n2) ⁄ 2 . AP . AQ | |
| = l1l2 + m1m2 + n1n2 ⁄ √ l12 + m12 + n12 √ l22 + m22 + n22 |
If l1l2 + m1m2 + n1n2 = 0, then cos ∠PAQ = 0 and hence ∠PAQ = 90°.
Perpendicular lines: Two lines are perpendicular if and only if they are intersect and
l1l2 + m1m2 + n1n2 = 0
for any directed values (l1, m1, n1) and (l2, m2, n2) of the line.
Exampole 6.
Given P(0, 0, 1), Q(3, 6, 4), R(0, 3, 1) and S(3, 0, 4), show that lines PQ and RS are perpendicular.
Solution
Given P(0, 0, 1) and Q(3, 6, 4), we have (PQ) = (3, 6, 3)
Given P(0, 3, 1) and Q(3, 0, 4), we have (RS) = (3, -3, 3)
And we have 3(3) +
If a point (x, y, z) is on the line PQ and RS, then
| x = 0 + 3s | x = 0 + 3t |
| y = 0 + 6s | y = 3 - 3t |
| z = 1 + 3s | z = 1 + 3t |
| 3s | = 3t |
| 6s | = 3 - 3t |
| 1 + 3s | = 1 + 3t |
Example 7.
Find the equation of the line passing through the point (-4, 7, -3) and perpendicular to the line
(x, y, z) = (3 + 2k, -1 + 3k, 1 - k)
Find also the point of intersection of two lines.
Solution
Directed value of the given lines are (2, 3, -1).
Directed value of the required lines are
(-4 - (3 + 2k), 7 - (-1 + 3k), -3 - (1 - k) )
= ( -7 - 2k, 8 - 3k, -4 + k)
For some real number k.
If the two lines are perpendicular, then
| 2 (-7 - 2k) + 3 (8 - 3k) + (-1) (-4 + k) | = | 0 |
| -14 - 4k + 24 - 9k + 4 - k | = | 0 |
| 14 k | = | 14 |
| k | = | 1 |
So directed values of the required line are (-9, 5, -3) and the equation of the line is
(x, y, z) = (-4 - 9t, 7 + 5t, -3 - 3t)
The point of intersection is
(x, y, z) = (5, 2, 0)
- Find cos ∠PAQ for the followings. (a) P(1, 2, -1), A(-2, 1, 5), Q(2, -1, 0)
- Determine whether the line PQ and RS are parallel or skew or intersect. If PQ and RS intersect, are they perpendicular? (a) P(1, 2, 3), Q(4, 5, 6), R(-2, 3, 5), S(4, 9, 11)
-
Find the equation of the line passing through the point (8, -1, -10) and perpendicular to the line
(x, y, z) = (1 + 2k, 2 - k, 3 - 7k)
Find also the point of intersection of two lines.
(b) P(0, 2, -3), A(2, -1, 5), Q(-2, 3, -1)
(b) P(3, -1, -3), Q(2, -3, 1), R(3, -2, 5), S(-1, -2, 1)
(c) P(4, -2, 5), Q(-2, 6, 1), R(-1, 1, 4), S(3, 3, 2)
(d) P(-3, -1, 6), Q(-1, 3, 0), R(0, 6, 7), S(-4, -4, -1)
3.4 Planes
A plane is determined by three points which are not on the same line.
Let P(x, y, z) be a point on the plane through A, B, C. Since A, B, C are not on the same line, line segment joining any two points will intersect each other. Let AB intersect AC at A. Draw a line through P parallel to AC. This line will meet AB
at P (x1 + sl1, y1 + sm1, z1 + sn1)
for some parameter s.

| x | = | x1 + sl1 + tl2 |
| y | = | y1 + sm1 + tm2 |
| z | = | z1 + sn1 + sn2 for some parameter t. |
a = m1n2 - m2n1
b = n1l2 - n2l1
c = l1m2 - l2m1

Then
and al2 + bm2 + cn2 = 0
ax + by + cz = ax1 + by1 + cz1
Let d = ax1 + by1 + cz1, then we have the Cartesian form of the plane equation as
ax + by + cz = d
al1 + bm1 + cn1 = 0
and al2 + bm2 + cn2 = 0
the line l with equation
x - x1 ⁄ a = y - y1 ⁄ b = z - z1 ⁄ c
is perpendicular to both of the lines AB and AC. So the line l is perpendicular to the plane ABC. Hence any line with directed values (ka, kb, kc), for some parameter k is perpendicular to the plane ABC.

Example 8.
Find the equation of the plane containing A(1, 0, 1), B(3, 6, 4), and C(-2, 3, 1).
Solution
Given A(1, 0, 1) and B(3, 6, 4) we have
AB = (l1, m1, n1)
= (2, 6, 3)
Given a(1, 0, 1) and C(-2, 3, 1) we have
AC = (l2, m2, n2)
= (-3, 3, 0)
| a | = | m1n2 - m2n1 |
| = | 6(0) - 3(3) | |
| = | -9 |
| b | = | n1l2 - n2l1 |
| = | 3(-3) - 0(2) | |
| = | -9 |
| c | = | l1m2 - l2m1 |
| = | 2(3) - (-3)6 | |
| = | 6 + 18 | |
| = | 24 |
| d | = | ax1 + by1 + cz1 |
| = | -9(1) + (-9)0 + 24(1) | |
| = | 15 |
-9x - 9y + 24z = 15
Note that we can use any point on the plane to calculate the value of d.
Example 9.
Find the equation of the line passes through the point (-1, 3, 2) and perpendicular to the plane 3x - 2y - z = 3. Find the point of intersection of the line and the given plane.
solution
Directed values of the line perpendicular to the plane 3x - 2y - z = 3 are (3, -2, -1).
Then the equation of the line is
x - (-1) ⁄ 3 = y - 3 ⁄ -2 = z - 2 ⁄ -1
So coordinates of the points on the line are of the form

| x | = | -1 + 3s |
| y | = | 3 + (-2)s |
| = | 3 - 2s | |
| z | = | 2 + (-1)s |
| = | 2 - s |
-3 + 9s - 6 + 4s - 2 + s = 3
14s = 14
s = 1
Example 10.
Find the equation of the plane containing the point (-1, 3, 2) and parallel to the plane 3x - 2y - 3z = 2.
Solution
Directed values of the line perpendicular to the plane 3x - 2y - 3z = 2 are (3, -2, -3). This line is also perpendicular to the required plane. So the equation of the required plane is
3x - 2y - 3z = d
The point (-1, 3, 2) is on the plane. So
d = -15 The equation of the required plane is
3x - 2y - 3z = -15.

- Find the equation of the plane containing (a) A(2, -5, 4), B(-5, 2, 4) and C(-2, 3, -1)
- Find the equation of the line passing through the point (3, -2, -2) and perpendicular to the plane -2x + 3y - z = 4.
Find the point of intersection of the line and the plane. - Find the equation of the plane containing the point (2, 3, -1) and parallel to the plane -2x + y + 3z = 6.
(b) A(4, 2, -3), B(1, -2, 4) and C(-1, 0, 3)
3.5 Spheres

Therefore the equation of the sphere with center (x1, y1, z1 and radius r is
(x - x1)2 + (y - y1)2 + (z
- z1)2 = r2
Find the equation of the plane tangent to the sphere
(x - 2)2 + (y - 1)2 + (z + 1)2 = 14
at the point (3, 4, 1).
Solution

Directed values of the line joining center C(2, 1, -1) of the sphere and the given point P(3, 4, 1) are
CP = (1, 3, 2).
Line CP is perpendicular to the tangent plane. Thus the equation of the plane is
x + 3y + 2z = d.
Since P(3, 4, 1) is on this plane, so we get
3 + 3(4) + 2(1) = d
d = 17
The equation of the plane is
x + 3y + 2z = 17.
Example 12.
Find the equation of the sphere with center (0, 1, 0) and touching the plane x - 2y + 2z + 5 = 0.
Solution
The equation of the line that passes through the center C(0, 1, 0) and perpendicular to the plane x - 2y + 2z + 5 = 0 is
x - 0 ⁄ 1 = y - 1 ⁄ -2 = z - 0 ⁄ 2
x ⁄ 1 = y - 1 ⁄ -2 = z ⁄ 2
So coordinates of the points on the line are of the form
x = s
y = 1 + (-2)s = 1 - 2s
z = 2s
If one of these points P is on the plane, then
| s - 2(1 - 2s) + 2(2s) + 5 | = | 0 |
| s - 2 + 4s + 4s + 5 | = | 0 |
| 9s | = | -3 |
| s | = | - 1⁄3 |
CP = √ (- 1⁄3 - 0)2 + (5⁄3 - 1)2 + (- 2⁄3 - 0)2
= √ 1⁄9 + 4⁄9 + 4⁄9
= 1
Therefore the equation of the sphere is (x2 + (y - 1)2 + z2 = 1.
Example 13.
Find the equation of a sphere that passes through the points (9, 0, 0), (3, 13, 5) and (11, 0, 10), given that its center lies on the yz-plane.
solution
The equation of the sphere with center (x1, y1, z1) and radius r is
(x - x1)2 + (y - y1)2 + (z - z1 )2 = r2
Distance from center (x1, y1, z1) to each of the given points is
| (9 - 0)2 + (0 - y1)2 + (0 - z1)2 | = | r2 (in yz-plane, x1 = 0) | |
| 81 + y12 + z12 | = | r2 | (1) |
| (3 - 0)2 + (13 - y1)2 + (5 - z1)2 | = | r2 | |
| 9 + (13 - y1)2 + (5 - z1)2 | = | r2 | (2) |
| (11 - 0)2 + (0 - y1)2 + (10 - z1)2 | = | r2 | |
| 121 + y12 + (10 - z1)2 | = | r2 | (3) |
81 + y12 + z12 = 121 + y12 + 100 - 20z1 + z12
0 = 40 + 100 - 20z1
z1 = 7
From (1) and (2),
81 + y12 + z12 = 9 + (13 - y1)2 + (5 - z1)2
81 + y12 + 72 = 9 + 169 - 26y1 + y12 + (5 - 7)2
130 = 182 - 26y1
y1 = 2
The equation of the sphere is
- Find the equation of sphere with center C and radius r. (a) C(1, -2, 4), r = 3
- Check whether the given point P lies inside, outside or on a sphere. (a) Center C(0, 0, 0), radius r = 3 and point P(1, 1, 1)
- Find the equation of the sphere on the join of (1, -1, 1) and (-3, 4, 5) as diameter.
- Find the equation of the plane tangent to the sphere
(x + 2)2 + (y - 1)2 + (z + 3)2 = 27
at the point (3, 2, -2). - Find the equation of the sphere with center (6, -7, -3) and touching the plane
4x - 2y - z = 17. - What is the equation of the sphere which passes through the points (3, 0, 2), (-1, 1, 1) and (2, -5, 4) and whose center lies on the plane 2x + 3y + 4z = 6 ?
(b) C(2, 6, -3), r = 2
(c) C(2, 3, 5), r = 5
(b) Center C(0, 0, 0), radius r = 3 and point P(2, 1, 2)
(c) Center C(0, 0, 0), radius r = 3 and point P(10, 10, 10)
